SONEL - удобно, точно, надежно!
Библиотека
Нормы, правила, стандарты
Справочник
Статьи
Протоколы
Испытания
Теория

Термины, определения, обозначения и индексы

Главная // Библиотека // Центр знаний // Нормы, правила, стандарты // ГОСТ Р 51317.4.7-2008 (МЭК 61000-4-7:2002) Общее руководство по средствам измерений и измерениям гармоник и интергармоник для систем электроснабжения и подключаемых к ним технических средств // Термины, определения, обозначения и индексы

В настоящем стандарте применены термины по ГОСТ 30372, [1], а также следующие термины с соответствующими определениями.

3.1 Определения, относящиеся к частотному анализу сигналов с применением преобразования Фурье

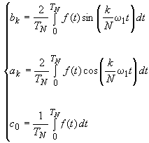
В настоящем стандарте используется приведенная ниже форма ряда Фурье, учитывая относительную простоту измерений значений углов фазового сдвига путем определения моментов перехода через нуль:

форма ряда Фурье
(1)

форма ряда Фурье
(2)

форма ряда Фурье
(3)

Примечание — Установление в приведенном выше определении фазовых углов φk равными нулю для случаев, когда значения bk и ak представляют собой достаточно малые величины, означает для изготовителей СИ возможность исключить требование измерений углов фазового сдвига малых сигналов, учитывая, что фазовые измерения при сигналах крайне малых амплитуд могут привести к большим отклонениям результатов.

В выражениях (1)-(3):

ω1 — угловая частота основной составляющей (ω1=2πƒH,1);

TN — длительность временного интервала измерения (ширина измерительного окна). В течение интервала измерения выполняется преобразование Фурье функции времени;

c0 — постоянная составляющая;

ck — амплитуда составляющей спектра с частотой ƒC,k =(k/N); ƒH,1;

ΥC,k — среднеквадратическоезначение составляющей спектра ck;

ƒH,1 — основная частота системы электроснабжения;

k — порядковый номер (порядок) спектральной составляющей, относящийся к разрешению по частоте C,1=1/TN);

N — число периодов основной частоты во временном интервале измерения;

φk — угол фазового сдвига спектральной составляющей с порядковым номером k

В большинстве случаев для нахождения ряда Фурье применяют цифровые методы, т.е. алгоритм дискретного преобразования Фурье (DFT) или его вариант — быстрое преобразование Фурье (FFT). Для этого анализируемый аналоговый сигнал подают на вход аналогово-цифрового преобразователя. Полученные отсчеты запоминают. Каждая группа из M отсчетов соответствует временному интервалу измерения, в котором осуществляется дискретное преобразование Фурье.

В соответствии с принципами разложения функции времени в ряд Фурье длительность временного интервала измерения TN определяет разрешение по частоте ƒC,1=1/TN (частотное разделение спектральных составляющих) при анализе. Следовательно, длительность временного интервала измерения TN должна быть равна произведению длительности периода основной частоты напряжения в системе электроснабжения на целое число N , т.е. TN = NT1 . Частота отсчетов в этом случае должна быть ƒs = M/(NT1) , где M — число отсчетов в пределах длительности временного интервала измерения TN .

Перед выполнением дискретного преобразования Фурье отсчеты, соответствующие длительности временного интервала измерения, в ряде случаев взвешивают, умножая их на симметричную функцию (функцию измерительного окна). Однако для периодических сигналов и синхронизированных отсчетов предпочтительно использовать прямоугольную взвешивающую функцию измерительного окна, эквивалентную умножению каждого отсчета на единицу.

Процессор, осуществляющий дискретное преобразование Фурье, определяет ортогональные коэффициенты Фурье ak и bk составляющих спектра на частотах ƒC,k = k/TN, k = 0, 1, 2 ... M-1 Однако лишь значения k, не превышающие половины максимального значения, являются полезными, другая половина является их дубликатами.

При условии синхронизации гармоническая составляющая порядка h (порядок определяется относительно основной частоты ƒH,1 ) возникает в преобразовании Фурье как спектральная составляющая порядка k , где k = hN .

Быстрое преобразование Фурье представляет собой специальный алгоритм сокращения времени вычислений. Для его применения необходимо, чтобы число отсчетов M было равно целой степени 2, т. е. M = 2ι , где, например, ι ≥ 10.

При необходимости символ Υ , обозначающий среднеквадратическое значение составляющей спектра ck , заменяют символом Ι для тока и символом U — для напряжения. Индекс C предназначен для отнесения переменных к спектральным составляющим.

Примечание — Следует учитывать, что приведенные определения применимы к установившимся сигналам.